研究背景:
当代饮食模式加剧了气候变化和公共卫生问题,对地球生态系统造成了巨大压力。为了促进人类健康和地球环境的可持续性,2019年EAT-Lancet委员会首次提出行星健康饮食(PHD)。为了验证PHD对人类健康的有效性,本研究旨在基于两项队列研究,并结合已发表的前瞻性研究开展荟萃分析(其中纳入本研究的两项队列研究),系统探索其与全因死亡率及主要慢性疾病发病风险的关联。
研究方法:
使用美国国家健康与营养检查调查(NHANES)42,947名20岁及以上的成年人和英国生物银行(UKB)125,372名40-69岁的成年人。通过24小时饮食回顾问卷数据计算PHD得分。多因素Cox比例风险回归模型用于探索PHD得分与NHANES和UKB中全因和特定原因死亡率之间的关联。进一步检索WOS, PubMed, Cochrane, Scopus, and Embase数据库(截止2025年4月),对纳入的37篇文献开展荟萃分析,根据异质性水平(I²)应用固定效应或随机效应模型来计算PHD得分与死亡率等健康结局的汇总相对风险,并评估潜在的剂量-反应关系。
研究主要结果:
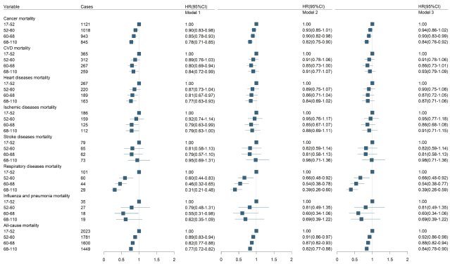
在NHANES中,PHD得分中位数为30分(范围为10-95分),而在UKB中,PHD得分中位数为59分(范围为17-110分)。在完全调整的Cox模型中,与最低四分位相比,NHANES中坚持较高PHD饮食的全因死亡率(HRQ4 vs. Q1: 0.77, 95% CI: 0.71-0.84)、心脏病死亡率(HRQ4 vs. Q1: 0.81, 95% CI: 0.66-0.98)和其他相关死亡率(HRQ4 vs. Q1: 0.81, 95% CI: 0.69-0.96)的风险分别降低23%、19%和19%;限制性立方样条回归(RCS)显示PHD得分与全因死亡率呈线性负相关。UKB中坚持较高PHD饮食的全因死亡率(HRQ4 vs. Q1: 0.84, 95% CI: 0.78-0.90)、癌症死亡率(HRQ4 vs. Q1: 0.84, 95% CI: 0.76-0.92)和呼吸系统疾病死亡率(HRQ4 vs. Q1: 0.39, 95% CI: 0.26-0.59)的风险分别降低16%、16%和61%;RCS显示PHD得分与全因、癌症死亡率均呈线性负相关。


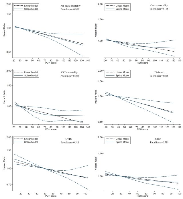
荟萃分析结果显示,与PHD依从性最低组相比,高PHD组的癌症死亡率降低11%(HR: 0.89,95% CI: 0.85-0.92,I2: 1.8%)、心血管疾病死亡率降低17%(HR: 0.83,95% CI: 0.79-0.87,I2: 21.2%)以及全因死亡率降低21%(HR: 0.79,95% CI: 0.72-0.82,I2: 77.0%)。Begg和Egger检验均提示没有显著的发表偏倚。在分析PHD与主要慢性疾病时发现,与PHD依从性最低组相比,高PHD组的结直肠癌(HR: 0.87,95% CI: 0.78-0.97,I2: 0)、肺癌(HR: 0.68,95% CI: 0.59-0.78,I2: 0)、心血管疾病(HR: 0.83,95% CI: 0.76-0.90,I2: 62.7%)、冠心病(HR: 0.83,95% CI: 0.78-8.88,I2: 0)、糖尿病(HR: 0.74,95% CI: 0.62-0.87,I2: 93.4%)和总卒中(HR: 0.84,95% CI: 0.76-0.91,I2: 59.1%)风险分别降低了15%、32%、17%、17%、26%和16%。Begg和Egger检验均提示没有显著的发表偏倚。进一步的剂量-反应关系结果显示,坚持较高的PHD饮食可以降低心血管疾病、冠心病、糖尿病、肺癌、癌症死亡率、心血管疾病死亡率和全因死亡率的风险,且存在显著的线性关联(P<0.05;P非线性>0.05)。

研究结论:
遵循PHD可能降低全因死亡率及癌症和心血管疾病的死亡风险,同时也可能减少结直肠癌、肺癌、心血管疾病、冠心病、中风和糖尿病的发生风险。本研究结果强调了推广PHD的重要性。
作者简介

汪元元,男,现就读于bw必威西汉姆联,主要研究方向为营养流行病学、膳食营养与健康等。参与国家自然科学基金、江苏省自然科学基金项目等多项。在国内外期刊发表学术论文40余篇,其中以第一作者或共一作者发表SCI论文15篇。获得第五届江苏省预防医学会科学技术奖三等奖。为中国营养学会注册会员,注册营养师。

孙桂菊,女,现任bw必威西汉姆联营养与食品卫生学系二级教授,博士生导师,主要研究方向为营养与慢性病防治。长期从事营养与食品卫生学教学科研40年。近年来参与多项国家及省部级课题。“十四五”重点研发计划项目“老年人群营养健康食品创制与产业化示范”项目负责人(首席科学家),先后主持完成国家科技支撑计划、国家重点研发计划、国家自然科学基金面上等国家与省部级科研项目。擅长营养与健康尤其食品营养健康成分及功能食品功效学研究评价,开展过20多项慢性病人群营养干预研究。对功能性油脂、植物化学物、植物多糖等与糖脂代谢的研究方面做过大量工作,在国内外学术刊物上发表学术论文430余篇,其中SCI论文170多篇。曾获淮海科技进步一等奖、江苏省预防医学科技进步三等奖、中国营养学会科技技术奖三等奖、南京市科技进步一等奖,江苏省科技进步三等奖和江苏省营养科学进步二等奖。2016年获江苏省优秀科技工作者称号,2017年获全国营养行业先进工作者称号,2020年获“典赞江苏科技十大科普人物”。目前担任中国营养学会常务理事、中国营养学会营养与保健食品分委会副主任委员,江苏省营养学会副理事长和南京营养学会理事长。
全文链接:https://pmc.ncbi.nlm.nih.gov/articles/PMC12412635/
